Nach meinem Fahrradsturz auf der Weserbrücke
habe ich sofort die BG Ambulanz aufgesucht.
08.04.2020, mein Fahrradsturz
hat zur Wirbelsäulenfraktur geführt. Ursache sind die Gesundheitsschäden aus meinen mit Bescheid anerkannten Arbeitsunfällen und in den medizinischen Gutachten diagnostiziert sind, weitere Ermittlungen laufen.
Willkommen im Team.>Klick
In der Behörde der BGHW gibt es keine Akteneinsicht im Beisein des Bearbeiters und ist der Ansatzpunkt, hier wird die Geheimhaltung praktiziert.
Arbeitsunfall: Tod nach Fahrradsturz, als Chirurg unsterblich geworden,
berichtet die Zeitung am 15.09.2012. Und ist in der ganzen Welt als Schwiegersohn von Otto Schott dem Glasfabrikanten in Jena bekannt.
Ich habe meinen Fahrradsturz am 08.04.2020 mit Wirbelsäulenfraktur überstanden. Mein Großonkel Prof. Dr. med. Rudolf Theis Eden hat seinen Fahrradsturz im Februar 1925 mit seinem Leben bezahlt.
27.08.2014
03.09.2014
Hätte mir die BGHW ein E-Bike als Hilfsmittel genehmigt,
dann wäre es am 08.04.2020 zu keinem Folgeunfall gekommen. Also einem Fahrradsturz mit Wirbelsäulenfraktur und nicht mehr abklingen Beschwerden.
07.08.2015
Mehr zur Sache E-Bike auf der Unterseite 30.05.2018: E-Bike
Nach meinem Fahrradsturz auf der Weserbrücke
habe ich sofort die BG Ambulanz aufgesucht.
08.04.2020, mein Fahrradsturz
hat zur Wirbelsäulenfraktur geführt. Ursache sind die Gesundheitsschäden aus meinen mit Bescheid anerkannten Arbeitsunfällen und in den medizinischen Gutachten diagnostiziert sind, weitere Ermittlungen laufen.
08.04.2020
Verlaufsbericht aus der BG Ambulanz Bremen,
die Uhrzeit 10:00 ist ein Schreibfehler der Unfall geschah 4 Stunden später ca. um 14:00 Uhr. Danach habe ich den schmerzhaften Weg zur BG Ambulanz aufgenommen und nach der Untersuchung wurde ich mit dem Taxi zum Rotes Kreuz Krankenhaus gebracht und hier wurden um 16:23 die Röntgenaufnahmen angefertigt. So ist es mit dem Schreiben vom 08.04.2020 dokumentiert. Warum die Aufnahmen nicht in der BG Ambulanz angefertigten wurden konnte ich bis dato nicht erfahren und ist auch wohl eine Nebensache.
08.04.2020
Der Arztbericht bestätigt, das Röntgen wurde um 16:23 durchgeführt.
23.04.2020
Danach wurde ein MRT der Lendenwirbelsäule mit Befund angefertigt:
Frische Deckplattenimpessionsfraktur des LWK 4 mit Hinterkantenbeteiligung.
18.05.2020
25.05.2020
26.06.2020
Es folgt ein Bescheid der BGHW
und lehnt meinen Fahrradunfall als Arbeitsunfall ab
28.06.2020
21.07.2020
23.07.2020
21.08.2020
Anlage
19.08.2020
16.09.2020
Es folgte der Widerspruchsbescheid
und zerrte die Sach vor das SG Bremen
Anlagen
21.09.2020
23.09.2020
Meine Klage ist eingegangen
24.09.2020
Beklagte will meine Klage ablehnen
und Herr [19-1] hat seit dem 18.01.2010 "Redeverbot"
30.09.2020
Verordnung von meinem Hausarzt
08.10.2020
Mein Schriftsatz mit Anlagen
05.10.2020
Anlage
22.10.2020
Beklagte kann keine neuen Erkenntnisse feststellen.
27.10.2020
Gericht kann nicht erkennen warum meine Akteneinsicht erforderlich sein könnte.
29.10.2020
Anlage
22.10.2009
20.12.2019
30.12.2020
Mein Schriftsatz, mit umfangreichen Anlagen als Beweismittel, diese darf ich nicht der Öffentlichkeit zugänglich machen.
07.01.2021
Mein Schriftsatz vom 30.12.2020 erbringt für die Beklagte keine neuen Erkenntnisse.
12.01.2021
Das Gericht will davon ausgehen, dass die Akteneinsicht mit CD gewährt sei.
17.02.2021
Ich habe eine CD bekommen
22.02.2021
22.02.2021
Mit meinem Schriftsatz habe ich widersprochen und ist auch mit der Anlage begründet.
25.02.2021
Das Gericht kann weiterhin keinen Zusammenhang zwischen dem Klageverfahren und dem Inhalt der Beschwerdeakte der Direktion Mannheim erkennen.
Es ist aber aktenkundig, dass die Beklagte in Bremen die aktenführende Behörde ist und nur hier liegt die vollständige Akte vor. Und natürlich auch die Schriftstücke welche an die Direktion gerichtet sind.
05.03.2021
Mit meinem Schriftsatz habe ich erneut widersprochen und ist begründet.
25.03.2021
Mit meinem Schriftsatz habe ich erneut widersprochen und ist begründet,
Mit Anlagen
24.03.2021
05.03.2021
05.05.2021
Gericht wünscht erneut meine Klage zu begründen.
17.05.2021
Mir fehlt aber die Akte und Akteneinsicht.
Die Anlagen möchte der Öffentlichkeit nicht ohne eine Genehmigung zugänglich machen.
21.05.2021
Bezogen auf den Klagegenstand, gibt es für die Beklagte keine neuen Erkenntnisse.
31.05.2021
Mit meinem Schriftsatz habe ich Erkenntnisse vorgetragen.
Anlage
04.04.2017
03.06.2021
Es soll mit Gerichtsbescheid entschieden werden.
06.06.2021
Damit bin ich nur einverstanden, wenn ....
16.07.2021
15.07.2021
Gerichtsbescheid, Klage wurde abgewiesen.
23.07.2021
23.07.2021
27.07.2021
Meine Berufung ist eingegangen
25.01.2023
11.05.2023
05.06.2023
Schreiben aus dem LSG Bremen zur Ladung in der Sache L 14 U 132/21
21.06.2023
Eile ist angesagt
Anlage:
19.07.2023
Meine 6 Sitzungen vor dem LSG
Anlage:
15.06.2023
Anlage:
25.03.2022
Anlage:
05.03.2021
Anlage:
22.08.2011
19. Juli 2023
Termin zur mündlichen Verhandlung,
die Beteiligten haben "Redeverbot".
Vom Landessozialgericht (LSG) Bremen ist der Termin zur mündlichen Verhandlung in 5 Verfahren auf den 19.07.2023, 10:00 Uhr bestimmt. Ferner wurde in der Sache L 14 U 87/21 und L 14 U 131/21 wörtlich bekannt gemacht:
"Der Senat beabsichtigt weiterhin, dem Kläger Kosten nach § 192 Abs. 1 Satz 1 Nr. 2 SGG aufzuerlegen. Auf die Verfügung des Senats vom 28. Februar 2022 wird ausdrücklich hingewiesen."
M.M. ist dazu ist zu sagen:
Dass LSG Bremen möchte das Öffnen der Akte im Beisein der Beklagten verhindern, weil bei der Auswertung/Interpretation der Akteninhalte über Prozessdelikt, Manipulation, Urkundenfälschung, Meineid, etc. diskutiert werden muss. Und vor Gericht muss die Wahrheit gesagt werden von der Beklagten auch von dem Gericht. Die Mitarbeiter der Beklagten können aber keine Aussage machen, weil der Geschäftsführer seinen Mitarbeitern mit Verwaltungsentscheidung vom 18.01.2010 "Redeverbot" erteilt hat und noch am Wirken ist. Vor diesem Hintergrund könnte ich mir das Erscheinen vor dem Gericht ersparen, werde aber zum Erscheinen mit einem Ordnungsgeld bis zu 1.000,00 Euro bedroht. Das Ordnungsgeld kann ich nicht zahlen und würde mit 80 Jahren erneut im Gefängnis landen.
02.06.2023
MEIN KLAGEZIEL
Von meiner gesetzlichen Unfallversicherung der Berufsgenossenschaft Handel und Warenlogistik (BGHW) in Bremen möchte ich nur haben was mir nach Recht und Gesetz als Schwerverletzter aus zwei schweren Arbeitsunfällen mit einer Minderung der Erwerbsfähigkeit (MDE) nicht unter 50% zusteht. Dazu lässt es die BGHW aber nicht kommen und so musste ich gegen die Behörde vor dem Sozialgericht (SG) Bremen Klagen. Und bin mit meinem Fachanwalt für Sozialrecht Dr. jur. im Jahre 2009 vor dem Bundessozialgericht gescheitert.
Danach wurde aufgedeckt: Eine mächtige "kriminelle Vereinigung" ist in der Behörde am Wirken und das Bedrohungsmanagementteam hat die Behörde eingeschaltet. In meiner Behördenakte wurde Prozessdelikt, Manipulation, Urkundenfälschung, Meineid, etc. objektiviert. Unter der Androhung von bis zu 250.000 Euro Ordnungsgeld oder bis zu 2 Jahren Ordnungshaft hat mir die Behörde eine Liste über 45 Akten und Verwaltungsentscheidungen zur Geheimhaltung vorgelegt und verhindert, dass die Behörde an Ansehen verliert. Ich habe auf meiner Webseite von der Meinungsfreiheit gebrauch gemacht und hat dazu geführt, dass ich im Gefängnis unter Schwerverbrechern gelandet bin. Darüber hat die Presse schon am 21.10.2021 berichtet und frage mich, wo bleibt das Fernsehen und die Staatsanwaltschaft Bremen?
Denn so kann und darf es auch nicht weitergehen. >Klick
Anlage:
19.06.2023
Anlage:
16.04.2013
19.07.2023
(Sitzungs-) Niederschrift zum Az.: L 14 U 132/21
26.07.023
Schreiben aus dem LSG Bremen mit der Anlage in Kopie.
20.07.2023
Schreiben an meinen Anwalt
24.07.2023
Mein Schriftsatz an meinen Anwalt + LSG und viele Anträge
Anlage:
20.07.2023
09.04.2020
26.07.2023
Gerichtsschreiben an die Beklagte (BGHW) zum Az.: L 14 U 132/21
Die Uhrzeit
Ich habe den Widerspruch in dem Unfallbericht aufgedeckt!!!
27.07.2023
Schreiben an meinen Anwalt zur Uhrzeit zum Az.: L 14 U 132/21
02.08.2023
Mein Schreiben an den Geschäftsführer der BGHW Bremen.
Auch zur Sache "Redeverbot".
Alles zur Sache L 14 U 132/21
08.08.2023
E-Mail von meinem Anwalt mit Anlagen in Kopie
26.07.2023
Schreiben aus dem LSG mit dem möglichen Vergleichsvorschlag.
02.08.2023
Schriftsatz der Beklagten
08.08.2023
Schreiben aus dem LSG
Formular/Erklärung
Entbindung von der ärztlichen Schweigepflicht.
09.08.2023
Schreiben an meinem Anwalt mit Anlagen zum Az.: L 14 U 132/21
Anlage
09.08.2023
08.04.2020
Urteile aus LSG vom 19.07.2023 (L 14 U 149/21 und L 14 U 171/21)
sind neues Beweismittel und dokumentieren die Tatsache, die Berichterstatterin am LSG Bremen hat meine zwei Klagen an der Wahrheit vorbei gesteuert. Wird mein Fahrradsturz dem Verkehrsunfall von 1968 und/oder meinem Stromunfall vom 2001 angelastet, wird nachvollziehbar: Am 19.07.2023 ist es zu Falschurteilen gekommen.
Dazu ist zu sagen:
In den medizinischen Gutachten der Beklagten sind die Unfallfolgen im Verwaltungsverfahren dokumentiert, wurde aber nicht 1:1 im Bescheid der Beklagten übernommen. Mein Fahrradsturz kann nur anerkannt werden, wenn die festgestellten Unfallfolgen sachgerecht und 1:1 in einem Bescheid festgesetzt wurden. Sollte die Beklagte dazu nicht verurteil werden, wird an der Wahrheit vorbei gesteuert.
Mit dieser bloßen Pflichtverletzung steuert die Beklagte und die Berichterstatterin an der Wahrheit vorbei. Oder ist es schon eine Pflichtverletzung, die der Gesetzgeber unterstrafe gestellt hat?
Verkehrsunfall:
22.08.2023
Mein Schreiben an das LSG und an meinen Anwalt.
Stromunfall:
22.08.2023
Mein Schreiben an das LSG und an meinen Anwalt.
30.08.2023
Mein Schriftsatz an das LSG und meinem Anwalt.
Und bestätigt ich wünsche die vollständige Aufklärung.
30.08.2023
BGHW Zweifel das Ereignis vom 08.04.2020 grundsätzlich nicht an.
Beklagte teilte ergänzend zu ihrem Schriftsatz vom.08.2023 mit, dass die Beklagte das Ereignis vom 08.04.2020 grundsätzlich nicht in Zweifel zieht.
Tatsächlich geht es also nur noch zu beweisen, dass die im Sinne von § 8 SGB VII anerkannten Arbeitsunfälle und die Unfallfolgen den Fahrradsturz am 08.04.2020 ausgelöst haben.
Die medizinischen Gutachten müssen nun die Diagnose dokumentieren, welche Unfallfolgen die Arbeitsunfälle ausgelöst haben und zu dem nicht angezweifelten Fahrradsturz am 08.04.2020 geführt haben.
Es hat sich gezeigt, genau dieses will die "kriminelle Vereinigung" verhindern und bis dato meinen Fall bearbeitet.
Dazu im Einklang hat die Beklagte im Verwaltungsverfahren nur meinen Verkehrsunfall vom 18.06.1968 (Az. 70 U 00009-68 R) berücksichtigt.
06.09.2023
Mein Schriftsatz an das LSG und meinem Anwalt.
Und bestätigt ich wünsche die vollständige Aufklärung.
Klage (Az.: L 14 U 132/21) soll mit einem Vergleich erledigt werden.
11.09.2023
Das Gericht hat darauf hingewiesen, dass es an die Schilderung des Klägers keinen Zweifel habe.
Und die Beklagte bekommt die Möglichkeit eine erneute Verwaltungsentscheidung zu treffen.
Bis dato hat die BGHW die wahre Sach- und Rechtslage unterdrückt und folgt nicht ihrer Amtsermittlungspflicht. Die Berichterstatterin am LSG Bremen (14 Senat) gibt der Beklagten die Möglichkeit eine erneute Verwaltungsentscheidung zu treffen.
"Dies bedeutet jedoch, dass von der Beklagten nunmehr noch zu prüfen sein wird, ob der vom Kläger erlittene Unfall auf die Folgen seiner 3 Arbeitsunfälle zurückzuführen ist. Sollte die Beklagte meinen Antrag den Unfall vom 08.04.2020 als Ursache meiner - im Sinne von § 8 SGB VII - anerkannten Arbeitsunfälle erneut ablehnen, könnte sich der Kläger dagegen erneut mit einem Widerspruch, bzw. nach Abschluss des Widerspruchsverfahrens mit einer Klage wehren.
Dazu ist es auch am 12.02.2024 unter dem Az.: S 2 U 12/24 gekommen
11.09.2023
Mit dem folgenden Vergleichsvorschlag ist die Beklagten einverstanden.
Richterin hat an die Schilderung des Klägers keinen Zweifel.
18.09.2023
Mein Schriftsatz & meine Antwort zum Vergleich. (Az.: L 14 U 132/21)
Mein Anwalt ist informiert.
20.09.2023
Schreiben an meinen Anwalt. (Az.: L 14 U 132/21).
Die Beklagte folgt nicht ihren Amtsermittlungspflichten.
21.09.2023
Schriftsatz der Beklagten (BGHW). (Az.: L 14 U 132/21)
22.09.2023
Gästebucheintrag
Beschluss
Fahrradsturz:
22.09.2023: Beschluss aus LSG Bremen Az.: L 14 U 132/21
25.09.2023: Schreiben aus dem LSG mit Anlage: Beschluss.
21.09.2023: Abschrift des Schriftsatzes liegt an.
27.09.2023
Mein Schriftsatz (Az.: L 14 U 132/21)
27.01.2014
Anlage in Kopie
28.09.2023
Mein Schriftsatz (Az.: L 14 U 132/21)
mit Anlage Gästebucheintragung vom 22.Sep. 2023 in Kopie
28.09.2023
Schreiben aus dem LSG Bremen (Az.: L 14 U 132/21)
mit der Anlage vom 28.09.2023 in Kopie.
Einen Beschluss vom 22.09.2023 habe ich aus dem LSG Bremen und von meinem Anwalt noch nicht erhalten.
Dazu ist zu sagen:
Mit Schreiben vom 11.09.2023 hat das Gericht einen Vergleich vorgeschlagen. Und binnen 1 Monats wurde um Mitteilung gebeten ob ich diesem Vergleich zustimme.
Mit meinen Schriftsätzen vom 18.09.2023; 27.09.2023 und 28.09.2023 habe ich meinem Anwalt und dem Gericht vorgetragen, wann ich einem Vergleich zustimme.
Vor diesem Hintergrund wurde meinem Anwalt mit dem Schreiben aus dem LSG Bremen wörtlich bekannt gemacht:
"Das Verfahren wurde mittlerweile durch außergerichtlichen Vergleich beendet (siehe hierzu auch der Ihnen mittlerweile zugestellte Beschluss nach § 202 SGG i.V.m. § 278 Abs. 6 ZPO vom 22.09.2023). Insofern ist nicht ersichtlich, inwiefern die von Ihrem Mandanten gestellten weiteren Anträge Gegenstand dieses Verfahrens sein sollten. Das Verfahren wird deshalb weiterhin als beendet angesehen."
Dazu ist zu sagen:
Dass meinem Anwalt ein Beschluss vom 22.09.2023 aus dem LSG Bremen zugestellt wurde ist mir erst später bekannt geworden.
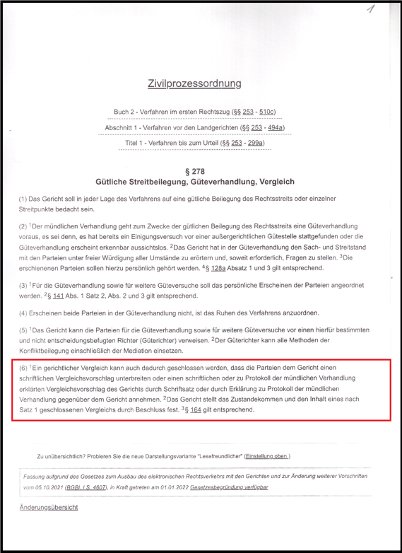
§ 278 Abs. 6 ZPO
Außergerichtlicher Vergleich: Was ist das?
Ein Prozessvergleich findet vor Gericht statt. Der außergerichtliche Vergleich hingegen ist zwar auch eine Vereinbarung zwischen zwei Parteien, um einen Streit beizulegen, jedoch ist dafür kein
Gerichtsverfahren oder die Entscheidung eines Richters nötig. Die Streitenden können sich selbst oder mithilfe einer Mediation oder eines Rechtsanwalts auf verschiedene
Lösungen einigen, wie eine Ausgleichszahlung oder die Erfüllung bestimmter Forderungen.
Im Gegensatz zu einem gerichtlichen Vergleich, der von einem Richter oder Schiedsrichter protokolliert wird, handeln die beteiligten Parteien einen außergerichtlichen Vergleich freiwillig
untereinander aus. Der außergerichtliche Vergleich kann in sämtlichen Rechtsbereichen angewendet werden, also im Arbeitsrecht, im Mietrecht oder im Vertragsrecht. Er kann auch die Beziehung
zwischen den Parteien verbessern, indem er die Möglichkeit bietet, einen Kompromiss auf neutralem Boden zu finden. Das ist besonders bei Nachbarschaftsstreitigkeiten,
Familienproblemen oder Konflikten mit dem Arbeitgeber sinnvoll.
06.10.2023
Mein Schriftsatz mit der Bitte, dass ich die Schriftstücke aus dem LSG Bremen erhalte. (Az.: L 14 U 132/21)
10.10.2023
Die medizinische Situation
"Die Wahrheit interessiert mich nicht"
Wer will schon die "Regie" der Aufklärung übernehmen!?
23.10.2023
Mein Hinweis an die Beklagt, so müsste es im Verwaltungsverfahren sachgerecht weitergehen.
Nun geht es weiter mit dem Az.: S 2 U 12/24 mit Klick
Der gesetzlose
"Kampf um Unfallrente" ist noch nicht verloren.
"Gerechtigkeit als Herzenssache"













































































































































































