Es folgen Unfall-u. Geheimakten
Es folgt der 1. Teil zum Drumherum der "Stasiakte" und dem 1. Beschwerdeverfahren E 207/09
02.11.2007
Mit dem folgenden Schreiben vom 02.11.2007 hat die BGHW (vormals GroLa BG) den Chefarzt der Neurologischen Abt. zur Stellungnahme beauftragt. Und die BGHW wollte damit meine mit Bescheid anerkannten "anfallsartigen Kopfschmerzen" anzweifeln. Dieses hat das Berufungsgericht mit dem Urteil vom 18.12.2008 aber nicht zugelassen.
28.11.2007
"Beratungsärztliche Stellungnahme".
Die Stellungnahme kam schon am 28.11.2007 zu dem Ergebnis:
"Als vorrangig in dieser komplexen Angelegenheit ist der baldige Abschluss der Rechtsstreitigkeiten zu sehen."
14.04.2008
Mein Schreiben an die BGHW
15.04.2008
Wird mein Sachbearbeiter Herr [18] ausgetauscht???
Dieses wird aufgrund meiner Beschwerde überprüft.
Nach elf Jahren hat die BGHW auch diesen Vermerk vom 25.04.2008 zur Geheimhaltung vor der Öffentlichkeit festgesetzt. Wie die Liste vom 13.08.2019 mit 45 Akten und Verwaltungsentscheidungen und der Nummer (2) bestätigt.
25.04.2008
Das Antwortschreiben von dem Geschäftsführer der BGHW Bremen hat offensichtlich gemacht, dass die BGHW an die Einschätzungen der Gutachter gebunden ist. Und ich möchte erreichen, dass die BGHW dieser Gesetzmäßigkeit folgt und die Rechtsstreitigkeiten zum baldigen Abschluss bringt.
Dem folgte die "Stasiakte", also das interne Schreiben der BV Bremen vom 05.10.2009 (drei Seiten). Und mit Bezug auf das Schreiben der BV Bremen vom 05.10.2009 (3 S.) kam die HV Mannheim nun mit dem folgenden Schreiben vom 19.10.2009 zu dem Ergebnis:
"Eine Begutachtung auf psychologischen Fachgebiet - wie im Schreiben vom 05.10.2009 Ihrer Bezirksverwaltung angeregt - ist u.E. nicht angezeigt, da die Auseinandersetzung des Herrn Neumann mit unserer Berufsgenossenschaft im Rahmen des Verwaltungsverfahren nicht geeignet ist, psychische Beschwerden rechtlich wesentlich zu verursachen."
Dieses Antwortschreiben der BGHW vom 25.04.2008 muss ich geheim halten. Siehe die Geheimhaltungsliste vom 13.08.2019.
Mit dem Vermerk vom 09.06.2009 ist dokumentiert, der BGHW wurde durch meinen Anwalt darüber informiert, ich habe die Staatsanwaltschaft Bremen eingeschaltet. Diesen Vermerk vom 09.06.2009 hat die BGHW in die Geheimhaltungsliste vom 13.08.2019 mit Nr.: 27 aufgenommen.
08.05.2008
15.05.2008: Mit dem Vermerk: Eine Stellungnahme wird es nicht geben.
Mit meinem Schreiben vom 08.05.2008 habe ich auf das Schreiben der BGHW vom 25.04.2008 und auf das Schreiben meines Anwalts vom 05.05.2008 reagiert. Und auf der Rückseite von Blatt 4, hat der Geschäftsführer Herr [20-2] am 15.05.2008 festgesetzt, eine Rechtfertigung soll es nicht geben.
Ferner soll auf Grund meiner Beschwerden überprüft werden, ob der Sachbearbeiter Herr [18] von meinem Fall abgezogen wird.
10.06.2008
Meine Kritikpunkte im Schreiben vom 10.06.2008 hat mein Anwalt übernommen und dem Gericht mit dem Schriftsatz vom
17.06.2008 vorgelegt.
18.06.2008
Mit einem Vermerk hat die Beklagte am 23.06.2008 nachvollziehbar dokumentiert eine Stellungnahme wird es nicht geben.
Die Streitigkeiten werden also weitergeführt.
24.07.2008
Ich habe eine Verwaltungsakt gewünscht.
05.01.2009
Bericht über die Vertretung vor dem LSD Bremen
Die erhobenen Manipulations-Unterstellungen sind dokumentiert.
Aber im Urteil findet sich davon nichts wieder.
05.01.2009
Bericht über die Vertretung vor dem LSD Bremen
Die erhobenen Manipulations-Unterstellungen sind dokumentiert.
Aber im Urteil findet sich davon nichts wieder.
07.01.2009
Die BGHW dokumentiert Herr Neumann wird "weitermachen" wahrscheinlich.
07.01.2009
Die BGHW dokumentiert
14.01.2009
Die BGHW dokumentiert
20.01.2009:
Keine weiteren Ermittlungen will die BGHW durchzuführen.
Wie das Antwortschreiben der BGHW vom 20.01.2009 dokumentiert.
Nach zehn Jahren hat die BGHW auch diesen Vermerk vom 09.06.2009 zur Geheimhaltung vor der Öffentlichkeit festgesetzt. Wie die Liste vom 13.08.2019 mit 45 Akten und Verwaltungsentscheidungen und der Nummer (45) bestätigt.
08.06.2009
Bearbeiter meiner Akte Herr [18 ]dokumentiert Gewissenskonflikt.
In meinem außergewöhnlichen Fall hat der Bearbeiter meiner Akte und Prozessbevollmächtigte der BGHW am 09.06.2009 Gewissenskonflikt dokumentiert u. folgte nicht mehr den Anweisungen der Geschäftsführung. Das Dokument hat die BGHW in die Liste vom 13.08.2019 zur Geheimhaltung unter Nr. 45 festgesetzt.
Ferner wurde festgesetzt: "Wir haben nichts zu verbergen" und ist eine dokumentierte Unwahrheit. Dazu im Einklang werden Beweismittel unterdrückt.
08.06.2009 bzw. 09.06.2009
09.06.2009 (Bl.1463)
Mit dem folgenden Schreiben ist bestätigt, bei der (letzten) Akteneinsichtnahme am 08.06.2009 in der Behörde wurden mir sämtliche vorliegende Unterlagen bis einschließlich Bl. 1462 zur Einsichtnahme vorgelegt. Mir wurde auch eine sogenannte (rote) Handakte vorgelegt.
Nach zehn Jahren hat die BGHW auch diesen Vermerk vom 09.06.2009 zur Geheimhaltung vor der Öffentlichkeit festgesetzt. Wie die Liste vom 13.08.2019 mit 45 Akten und Verwaltungsentscheidungen und der Nummer (27) bestätigt.
09.06.2009
Das folgende Schreiben dokumentiert, die BGHW hat ein Hausverbot angedacht und dazu musste mir die BGHW die Akten in Kopie überlassen. Und am 18.01.2010 kam es auch zu meinem ersten Hausverbot und die Mitarbeiter haben "Redeverbot" erhalten. Und zur weiteren Sachaufklärung ist nicht wirklich etwas passiert.
Nach zehn Jahren hat die BGHW auch diesen Vermerk vom 09.06.2009 zur Geheimhaltung vor der Öffentlichkeit festgesetzt. Wie die Liste vom 13.08.2019 mit 45 Akten und Verwaltungsentscheidungen und der Nummer (11) bestätigt.
09.06.2009 (Bl.1466/7)
Vermerk aus einem persönlichen Gespräch:
"Der Unterzeichner unterbreitete Herrn Neumann Rahmen der Akteneinsicht das Angebot, dass ihm alle Aktenunterlagen, die wesentlich sind (also keine Rechnungen usw.), nochmals zur Verfügung gestellt werden (die Unterlagen in der Handakte sind ausdrücklich von den Kopien ausgenommen!). Das sei ein Entgegenkommen der BGHW, das nicht selbstverständlich ist."
Die vielen Akten habe ich erhalten und konnte die Akten studieren, wenn es meine Gesundheit zugelassen hat.
Den Vermerk (09.06.2009) über das persönliche Gespräch muss ich geheimhalten. Siehe die Geheimhaltungsliste vom 13.08.2019.
Es folgt eine Abschrift über den Vermerk und ist keine Kopie!
22.06.2009
14.07.2009
16.07.2009
Nach zehn Jahren hat die BGHW auch diesen Vermerk vom 21.07.2009 zur Geheimhaltung vor der Öffentlichkeit festgesetzt. Wie die Liste vom 13.08.2019 mit 45 Akten und Verwaltungsentscheidungen und der Nummer (28+29) bestätigt.
21.07.2009
Aktenvermerk für die Handakte:
Der Sachbearbeiter [18] wurde von meinem Fall abgezogen. Und sogleich wurde mit dem noch folgenden Schreiben der BGHW vom 21.07.2009 (Bl.565) der Irrtum erregt, bei der Hand.- Restakte handelt es sich um keine Akten, deren Kenntnisse zur Geltendmachung oder Verteidigung meiner rechtlichen Interessen erforderlich sind.
Dieses Dokument wurde unter Nr. 28 + 29 zur Geheimhaltung in die Liste vom 13.08.2019 aufgenommen. Und ist der Ansatzpunkt, in der Hand.-Restakte befindet sich brisantes Beweismittel.
Weiter im chronologischen Ablauf:
21.07.2009
Schreiben der BGHW, Handakte soll ich nicht erhalten.
Tatsächlich benötige ich den Zugriff auf diese Unterlagen und kann damit beweisen, wann der Sachbearbeiter Herr [18] von meinem Fall abgezogen wurde. Und welche Unterlagen aus der Hauptakte in die Hand/Restakte verschoben wurden.
So ist es auch wichtig zu erfahren, wann der Sachbearbeiter [18] abgezogen wurde dem Manipulation vorgehalten wird. Insoweit auch die Staatsanwaltschaft eingeschaltet wurde. Und auch ein Beschwerde Verfahren bei der BGHW unter dem Az. E 207/09 wurde eingeleitet.
Ferner wird damit nachvollziehbar, der Sachbearbeiter [18] hat die Stellungnahme im Beschwerdeverfahren gegen seine Person vom 05.10.2009 bearbeitet. Und von der Kriminalpolizei als "Stasiakte" bewertet wurde.
23.07.2009
Die Beklagte (BGHW) hat in dem Klageverfahren (Az.: S 2 U 58/09) mit dem Schriftsatz vom 23.07.2009 vorgetragen:
„Eine Aktenübersendung kann nicht erfolgen. Eine schriftliche Äußerung zum Schriftsatz des Klägers vom 15.06.2009 kann mangels Akten ebenfalls nicht erfolgen.“
06.08.2009
Mein Schreiben an die BGHW löst keinen Widerspruch aus,
meine Vorhaltung sind berechtigt. Und der Sachbearbeiter Herr [18] wurde von meinem Fall und ohne mein wissen, schon am 21.07.2009 abgezogen.
Nach zehn Jahren hat die BGHW auch diesen Vermerk vom 31.08.2009 zur Geheimhaltung vor der Öffentlichkeit festgesetzt. Wie die Liste vom 13.08.2019 mit 45 Akten und Verwaltungsentscheidungen und der Nummer (31) bestätigt.
31.08.2009
Eine Akteneinsicht im Beisein meines Aktenbearbeiters zur Klärung von "Merkwürdigkeiten", habe ich niemals erhalten. Insoweit hat die BGHW am 31.08.2009 und 19.07.2011 in der Akte den Irrtum erregt, es sei zur Überprüfung der Akte gekommen. Wahrhaftig gibt es über das Ergebnis auch keinen Bericht.
31.08.2009 (Bl.1560, AU-1968)
Vermerk über das Telefongespräch vom 31.08.2009
Den Vermerk muss ich unter der Nr. 31 geheimhalten. Siehe die Geheimhaltungsliste vom 13.08.2019.
Es folgt eine Abschrift und ist keine Kopie!
09.09.2009
Es folgt mein Schreiben vom 09.09.2009 (Bl.1561) u. dokumentiert, das Handeln der BGHW löst Gesundheitsstörungen aus.
Dieses Schreiben vom 09.09.2009 findet sich auch in der sogenannten "Stasiakte" der BGHW vom 05.10.2009 wieder.
15.09.2009:
Mein 1. Beschwerdeverfahren beginnt (E 207/09)
Mein Vorbringen im Beschwerdeverfahren.
18.09.2009
Das folgende Schreiben dokumentiert, es sollen alle Unfälle bearbeitet werden und es sollen detaillierte Stellungnahmen zu meinen Anschuldigungen angefertigt werden.
Es wurde aber keine vollständige und detaillierte Stellungnahme angefertigt und konnte auch nicht angefertigt werden. Weil dem Bearbeiter nicht einmal die vollständige Akte in der Stromunfallsache vorgelegt wurde.
Es muss auch eine "gefährliche Wahrheit" in der Akte geben und ist das Motiv, warum der Bearbeiter keine vollständige/detaillierte Stellungnahme mit der "Stasiakte" vom 05.10.2009 über drei Seiten angefertigt hat.
29.09.2009
Zusammenfassung Stromunfallsache vom 20.03.2001. - chronologisch.
Der Bearbeiter Herr [18] hat am 29.09.2009 dokumentiert, es wurde nur eine Teilakte vorgelegt.
Und mit dem folgenden Aktenvermerk vom 21.07.2009 wurde (für die Handakte) nachvollziehbar dokumentiert:
Den Bearbeiter Herr [18] hat die Geschäftsführung der BGHW schon am 21.07.2009 von der weiteren Bearbeitung meiner Fälle befreit.
Dass der Bearbeiter nun doch noch das Beschwerdeverfahren gegen seine Person abarbeitet ist schon mehr als merkwürdig. Denn dieser wurde doch von meinem Fall abgezogen.
Dem nicht genug, wurde der Aktenvermerk vom 21.07.2009 am 13.08.2019 zur Geheimhaltung unter der Nr. 28 u. 29 festgesetzt.
29.09.2009 1237-1 bis 1237-2
Zusammenfassung Stromunfallsache vom 20.03.2001. - chronologisch.
Es wurde selbst von der BGHW dokumentiert, dass die Akte unvollständig ist. So fehlte auch die ausschlaggebende Akte mit Bl. 241-531.
Die Stellungnahme und "Stasiakte" der BGHW vom 05.10.2009 wurde also durch das Zurückhalten der (vollständigen) Akte manipuliert. Die Beteiligten haben mit der Akte ein "Problem".
29.09.2009
Es folgt mein Schreiben vom 29.09.2009 mit der Blattnummer 1640 ff.
Den Nationalsozialismus hat die Kommissarleuchte (Kaiser Idell) überdauert und hat Licht in das Dunkel der Akten gebracht. >Klick
Es folgt eine Abschrift, das Kopieren ist mir untersagt.
Az.: E 207/09
05.10.2009
Interne Stellungnahme der BGHW Bremen
Die Bez.-Verw. Bremen hat der Direktion Mannheim angekündigt es könnte zum Amoklauf" kommen, wenn die Untätigkeit erkannt wird und nichts weiter passieren sollte.
Az.: E 207/09
05.10.2009 (drei Seiten), "Stellungnahme" der BGHW.
Es geht um den Beschwerdevorgang E 207/09 und insbesondere um die Stellungnahme der BGHW BV Bremen vom 05.10.2009 gerichtet an die BGHW - Mannheim (Hauptverwaltung) und von der Kriminalpolizei Bremen als "Stasiakte" bezeichnet wurde. Diese Bezeichnung habe ich übernommen.
Die "Stasiakte" dokumentiert:
Wie der unfallverletzte Arbeiter (in diesem Fall meine Person) von der BGHW behandelt wird.
Nachdem Lesen wird erkannt, diese "Stasiakte" darf auf keinen Richtertisch und auch der Öffentlichkeit nicht zugänglich gemacht werden, weil unser Sozialsystem dadurch an Ansehen verlieren würde.
Dazu im Einklang hat die BGHW 45 Akten und Verwaltungsentscheidungen sowie die "Stasiakte" der BGHW in eine Liste vom 13.08.2019 zur Geheimhaltung aufgenommen.
Die folgenden Schriftstücke dokumentieren, das unglaubliche Handeln der BGHW, dass die Verletzten und ihre Angehörigen ertragen müssen.
Es ist das (kriminelle) Spiel der Berufsgenossenschaften. >Klick
05.10.2009
Az.: E 207/09, Vermerk
Die Bez.-Verw. Bremen hat der Direktion Mannheim mit dem Vermerk angekündigt, meine Schreiben werden nur bis zum 26.10.2009 bearbeitet.
Zehn Jahre später hat die BGHW auch diese interne Stellungnahme vom 05.10.2009 zur Geheimhaltung vor der Öffentlichkeit festgesetzt. Wie die Liste vom 13.08.2019 mit 45 Akten und Verwaltungsentscheidungen und der Nummer (21) bestätigt.
Az.: E 207/09
05.10.2009
Ich konnte die Hintergründe für das merkwürdige Handeln der Beschuldigten in meiner Behördenakte aufdecken und habe mir u.a. die Stellungnahme der BGHW Bremen vom 05.10.2009 (3 S.) mit der Nr.: 1234-2 und dem Az. E 207/09 aus der Direktion Mannheim vorlegen lassen und bis dato von der BV Bremen bis dato zurückgehalten wird. Und wurde von der BV Bremen zur weiteren Geheimhaltung vor der Öffentlichkeit in eine Liste mit 45 Akten und Verwaltungsentscheidungen der BGHW vom 13.08.2019 unter Nr. (21) aufgenommen.
Bei der BGHW ist die Stellungnahme seit 20.12.2019 nicht mehr auffindbar.
Und das Kopieren hat mir die BGHW seit dem 13.08.2019 untersagt.
Gerne würde ich der BGHW den Gerichten und der Öffentlichkeit die "interne Stellungnahme in Kopie vorlegen, dazu habe ich aber keine Erlaubnis. Und werde seit dem 13.08.2019 von der BGHW zur Geheimhaltung mit einem Ordnungsgeld bis zu 250.000,-€ bedroht oder bis zu 2 Jahren Gefängnis.
27.05.2011
Wichtiger Hinweis:
Mit Schreiben der BGHW (Mannheim) vom 27.05.2011 habe ich als Anlage in Kopie eine Akte erhalten und keine durchlaufende Nummerierung hat. Damit wurde mir die folgende interne Stellungnahme der BGHW (Bremen) vom 05.10.2009 (drei Seiten) erstmalig in Kopie als Anlage vorgelegt.
Mit der "Stellungnahme" vom 05.10.2009 wird nachvollziehbar, ich habe gefährliche Wahrheiten aufgedeckt für die sich keiner in der Öffentlichkeit rechtfertigen will.
Insoweit wird auch nachvollziehbar, warum die BGHW in der "Stellungnahme" wie folgt behauptet:
Meine Vorhaltungen sollen nicht gerechtfertigt sein und würden jeder Grundlage entbehren. Wir haben sogar schon wegen der ehrverletzenden Äußerungen und Vorwürfe überlegt, mit einer Anzeige gegen Herrn Neumann vorzugehen. Der bisher zuständige Sachbearbeiter Herr [18], hat es zwischenzeitlich abgelehnt, die Fälle des Herrn Neumann zu bearbeiten, da die ständigen Verdächtigungen für ihn auf die Dauer unerträglich sind.
Hinweis:
Am 02.09.2014 hat die BGHW einen Strafantrag gegen meine Person gestellt, natürlich Erfolglos, denn meine Vorhaltungen sind begründet.
Weiter im Text:
Und die Geschäftsführung der BGHW hat den Schriftverkehr mit Herrn Neumann auf das Nötigste reduziert, da sämtliche Äußerungen umfangreiche Gegenäußerungen des Herrn Neumann nach sich ziehen und zu keinem Ergebnis führen.
Herr Neumann hat sogar behauptet, dass seine psychischen Probleme auf die Auseinandersetzung mit der BGHW zurückzuführen sind und hat beantragt, dieses als "Unfallfolge" anzuerkennen (vgl. das Schreiben vom 09.09.2009 Bl. 1561)!
Es besteht aber genau hier die Möglichkeit, sich des Problems anzunehmen. So könnte die Verwaltung eine psychiatrische Überprüfung der Gesundheit des Herrn N. durchführen lassen.
Und die Untersuchung könnte man damit rechtfertigen, dass man einen möglichen Zusammenhang mit dem in Rede stehenden Unfall ausschließen will.
Dass man sich völlig zurückzieht, ist nicht zu raten, weil man sich damit der Gefahr einer möglichen Untätigkeitsklage aussetzt. Wir wollen auch nicht angreifbar sein, wenn die Auseinandersetzungen mit Herrn Neumann weiter eskalieren sollten. Ferner bleibt Herr Neumann in jeder Form unberechenbar, wenn er feststellen sollte, dass nichts weiter passiert.
Von unserer Seite werden wir Herrn Neumann in die Liste der "gefährlichen Personen" aufnehmen und überlegen, ihm schriftlich untersagen, die Verwaltung zu betreten. Denn es ist leider nicht vorhersehbar, wie Herr Neumann künftig reagiert. Um einer möglichen Gefährdung für Leib und Leben aus dem Weg zu gehen und im Hinblick auf die getätigten Aussagen, hält die BGHW das Vorgehen auch für gerechtfertigt.
Zwischenzeitlich liegt noch ein weiteres Schreiben des Herrn Neumann vor (Bl.1640 ff.), in dem er jetzt u.a. auch Herrn Dr. [8-1] angreift.
Vielleicht wäre es sinnvoll, das weitere Vorgehen nicht schriftlich sondern telefonisch abzusprechen.
Vor diesem Hintergrund wird erkannt, hier ist eine Vereinigung am Wirken und etwas zu verbergen hat.
06.10.2009 (Bl.1646)
Es folgt das Schriftstück aus der BV Bremen und sich mit der sogenannten "Stasiakte" der BV Bremen vom 05.10.2009 (3 S.) beschäftigt. Dieses Schriftstück wurde von der BV Bremen in dem Beschwerdeverfahren E 207/09 angefertigt und in der Hauptakte mit der Bl.1646 abgelegt.
Es folgen Unterlagen welche die "Stasiakte" vom 05.10.2009 bearbeiten, denn die BGHW hat ein "Problem"
In dem internen Schreiben (05.10.2009), dass die Kriminalpolizei Bremen als "Stasiakte" bezeichnet, hat die BV Bremen der HV Mannheim gemeldet, wir haben ein Problem. Und mit einer psychiatrischen Überprüfung meiner Gesundheit will die BV Bremen ihr Problem lösen. Und haben die Bestrafung meiner Person im Visier. Dazu liegen die folgenden Schriftstücke vor.
12.10.2009
Mein Fragenkatalog zum Az.: E 207/09 wurde mit keiner detaillierten Stellungnahme beantwortet.
Mit dem Hinweis auf die interne Stellungnahme der BGHW vom 05.10.2009 wird nachvollziehbar dokumentiert:
"Die BGHW wird sich nicht in die Anschuldigungen/Detailbeschreibungen des Versicherten zu verlieren."
Es ist sogleich der Anasatzpunkt, die BGHW folgt nicht dem Amtsermittlungsgrundsatz gemäß § 20 SGB X und wird auch keine für mich bedeutsamen Umstände ermitteln. Vielmehr wird die BGHW meine Schreiben als "Müll" bezeichnen, dazu im Einklang liegt auch die E-Mail der BGHW vom 28.12.2009 vor..
19.10.2009 [1250]
Mit der Überprüfung meiner Gesundheit war die HV Mannheim nicht einverstanden.
Es folgt das Schriftstück aus Mannheim und sich mit der sogenannten "Stasiakte" der Bezirksverwaltung Bremen vom 05.10.2009 (3 S.) beschäftigt. Dieses Schriftstück wurde in Mannheim in eine Akte mit der Blattnummer 1250 abgelegt.
19.10.2009 [1249-1]
Mein Beschwerdeverfahren zum Az.: E 207/09 wurde eingestellt.
In meinem Beschwerdeverfahren Az.: E 207/09 hat die Bezirksverwaltung Bremen der Hauptverwaltung Mannheim eine Stellungnahme ("Stasiakte") vom 05.10.2009 abgegeben und damit sollte mein Beschwerdeverfahren erledigt sein. Und die Stellungnahme ("Stasiakte") sollte mir auf keinem Fall vorgelegt werden. Siehe Gesprächsnotiz der BGHW vom 18.11.2009 Bl.1697.
22.10.2009
Vollständige Akte gibt es nur bei der BV Bremen
27.10.2009
Meine Vorhaltungen sollen unbegründet sein
10.11.2009 (Bl.1690) (32)
Die Beteiligten wollen nicht kriminalisiert werden, dazu im Einklang soll ich auf keinem Fall die Restakte erhalten.
So ist es mit dem Vermerk der BGHW vom 10.11.2009 (Bl.1690) dokumentiert. Dieser Vermerk wurde von der BGHW zur weiteren Geheimhaltung vor der Öffentlichkeit in die Liste mit 45 Akten und Verwaltungsentscheidungen der BGHW vom 13.08.2019 unter der Nr. 32 aufgenommen.
Nach zehn Jahren hat die BGHW auch diesen Vermerk vom 10.11.2009 zur Geheimhaltung vor der Öffentlichkeit festgesetzt. Wie die Liste vom 13.08.2019 mit 45 Akten und Verwaltungsentscheidungen und der Nummer (32) bestätigt.
17.11.2009
Bescheid der Generalstaatsanwaltschaft Bremen hat in 44 Punkten Pflichtverletzungen bestätigt.
Es folgt der Bescheid vom 17.11.2009 aus der Generalstaatsanwalt Bremen aus dem geht hervor, dass ich gegen die Mitarbeiter der BGHW ein Ermittlungsverfahren angstregt habe. Und 44 Pflichtverletzungen durchgängig erkannt wurden. Insoweit auch die aktenführende Behörde die für mich nachteiligen Schriftstücke zu entfernen hat. Aber dazu lässt es die aktenführende BV Bremen nicht kommen.
Nun haben die Beteiligten erkannt, jetzt muss gehandelt werden, denn sie wollen nicht kriminalisiert werden.
17.11.2009
Mein Beschwerdevorgang E 207/09
Es folgt die E-Mail vom 17.11.2009 der BV Bremen und melden der HV Mannheim, dass die BGHW erfahren hat, ein Ermittlungsverfahren wurde gegen die Mitarbeiter der BGHW angestrengt, so darf es nicht weitergehen und die Maßnahmen wurden festgesetzt.
Die Beteiligten wollen nicht kriminalisiert werden und setzen dazu alle Hebel in Bewegung.
18.11.2009 [1249-1]
Mit dem o.g. Schreiben vom 19.10.2009 wurde nachvollziehbar es gibt die interne Stellungnahme vom 05.10.2009 aus der aktenführenden Regionaldirektion Bremen und mit der Gesprächsnotiz vom 18.11.2009 wurde die "Geheimhaltung" festgesetzt. Jedoch mit dem Schreiben der Hauptverwaltung Mannheim vom 27.05.2011 habe ich die interne Stellungnahme vom 05.10.2009 in Kopie als Anlage erhalten.
23.11.2009
Mein Schreiben an die Generalstaatsanwaltschaft Bremen.
24.11.2009
Mein Schreiben hat die Verwaltung mit Anlage erreicht, findet sich aber nicht in dem Geschehensablauf der Akte wieder.
Anlage
17.11.2009
Bescheid der Generalstaatsanwaltschaft Bremen
Anlage
23.11.2009
25.11.2009
Mein Schreiben hat die Verwaltung mit Anlage erreicht, findet sich aber nicht in dem Geschehensablauf der Akte wieder.
Anlage
23.11.2009
28.11.2009
Demnächst stehen wir in der Zeitung oder müssen uns im Fernsehen rechtfertigen! Geschweige denn, dass er hier mit einer Waffe auftritt.
Es folgt die E-Mail vom 28.11.2009 der BV Bremen und melden der HV Mannheim, dass die BGHW erfahren hat, ein Ermittlungsverfahren wurde gegen die Mitarbeiter der BGHW angestrengt, so darf es nicht weitergehen und die Maßnahmen wurden festgesetzt.
November 2009
In der Stromunfallsache habe ich das Extra-Blatt angefertigt und keine üble Nachrede ist. Den Beteiligten und der Staatsanwaltschaft Bremen habe ich das Extra-Blatt vorgelegt.
24.07.2018
An dieser Stelle muss bekannt werden.
Es folgt das Antwortschreiben der BGHW mit der Meldung:
"Es hat bislang keinen einzigen Fall gegeben, in dem der (fristgerechte) Eingang eines seiner Schreiben strittig gewesen wäre."
26.07.2010
9 Jahren später hat die BGHW auch dieses Schreiben vom 26.07.2010 zur Geheimhaltung vor der Öffentlichkeit festgesetzt. Wie die Liste vom 13.08.2019 () mit 45 Akten und Verwaltungsentscheidungen der BGHW bestätigt.
02.12.2009 (Bl.1703/4)
Mein Schreiben (02.12.2009) erreicht die Verwaltung mit Anlage.
Jedoch die Anlage wurde entnommen und in die - Restakte - verbracht.
18.12.2009 Vorgang E 207/09
Die BGHW folgt dem Gerichtsgutachten vom 03.05.2005 und von der falschen Tatsachengrundlage ausgeht, mein Herz habe schon vor dem Unfalltag unter Vorhofflimmern zu leiden gehabt.
Richtig muss erkannt werden, keine Behörde diskutiert den Inhalt.
Auch nicht die Polizei & Staatsanwaltschaft Bremen und zeigt der Inhalt ist Brisant.
Und so wurde die "Stasiakte" vom 05.10.2009 auch in die Liste vom 13.08.2019 zur Geheimhaltung mit 45 Akten und Verwaltungsentscheidungen der BGHW aufgenommen. Und wenn ich der Geheimhaltung nicht folge, werde ich von einem Ordnungsgeld bis zu 250.000 € bedroht oder bis zu 2 Jahre Ordnungshaft.
Und darüber hat auch die Presse berichtet.
28./30.12.2009
Keinem MA ist zuzumuten sich mit dem Thema zu beschäftigen.
BGHW kommt keinen Schritt weiter.
Meine Schreiben sollen künftig nicht beantwortet werden.
Meine Schreiben wurden als "Müll" bezeichnet.
Mein Hausverbot wurde diskutiert.
MA (Mitarbeiter) der BGHW sind von dem Thema genervt.
18.01.2010
"Redeverbot" u. mein 1. von drei rechtswidrigen Hausverboten
Nach neun Jahren hat die BGHW auch dieses Schreiben vom 18.01.2010 zur Geheimhaltung vor der Öffentlichkeit festgesetzt. Wie die Liste vom 13.08.2019 mit 45 Akten und Verwaltungsentscheidungen und der Nummer (19) bestätigt.
15.04.2013
An dieser Stelle folgt sogleich der Bescheid der BGHW und das Hausverbot aufhebt, das "Redeverbot" ist aber weiter am wirken.
Es folgen meine Schreiben an die BGHW
19.03.2010
31.03.2010 Dr. [8-4]
Das merkwürdige Handeln der BGHW macht mich Krank
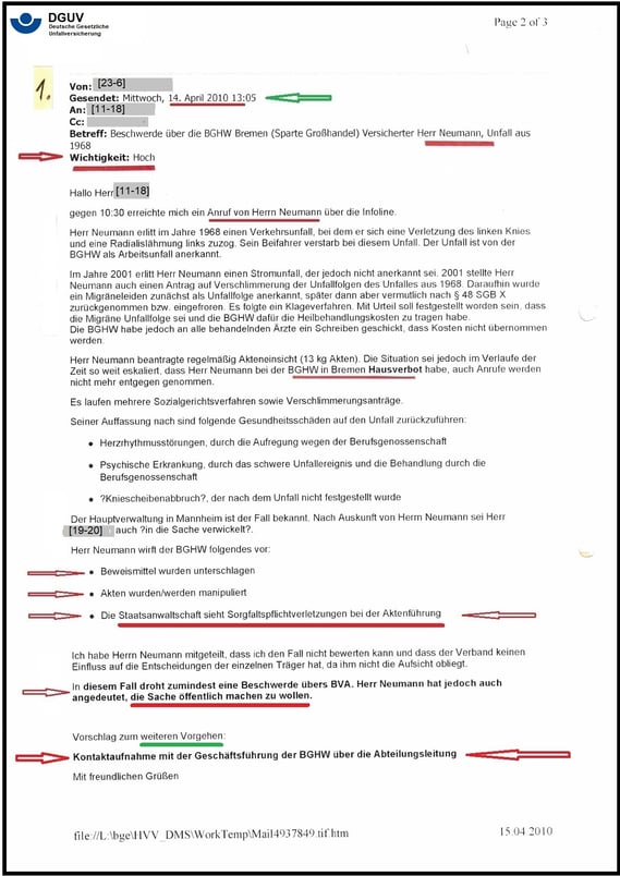
14.04.2010
14.04.2010
Wichtigkeit: Hoch, so wurde mein Fall von der DGUV eingestuft.
14.04.2010
Es folgt u. a. die - Hochwichtige - E-Mail
12.05.2010
29.06.2010
Mitarbeiter der BGHW wissen nicht mehr wie es weitergehen soll.
26.07.2010
Dem nicht genug behauptet die BGHW durchgehend und aktenkundig auch mit dem Schreiben vom 26.07.2010 wie folgt wörtlich:
"Auch nach nochmaliger Prüfung kommen wir zu dem Ergebnis, dass die BGHW die gebotene Sorgfalt in ihren Vorgängen beachtet hat."
Die BGHW entfernt keine nachteiligen Unterlagen aus der Akte. Und behauptet durchgehend und aktenkundig alles überprüft zu haben und es wären keine Fehler vorhanden. Auch das Schreiben vom 26.07.2010 (Bl.844/5) zum Az.: E 207/09 hat die BGHW aus meiner Unfallakte zu entfernen, denn zu meinem Nachteil wird vorgespiegelt, es gab und gibt keine Fehler.
Nach neun Jahren hat die BGHW auch dieses Schreiben vom 26.07.2010 (4) zur Geheimhaltung vor der Öffentlichkeit festgesetzt. Wie die Liste vom 13.08.2019 mit 45 Akten und Verwaltungsentscheidungen und der Nummer (4) bestätigt.
12.08.2010, Bl.847: Für Akteneinsicht ist BGHW Bremen zuständig E 207/09.
Ferner wurde der Irrtum erregt,
dass der Sachbearbeiter und Prozessbevollmächtigte der BGHW von meinem Fällen abgezogen wurde.
Denn der Sachbearbeiter [18] hat u. a. auch die folgenden Schreiben mit seiner Unterschrift bearbeitet.
27.08.2010,
wie soll es weitergehen? BGHW wünscht die Mediation!
30.08.2010, (Bl.859)
Rest-Handakte soll ich nicht erhalten
01.09.2010
Sozialgericht (SG) Bremen will Urteile und keine Mediation
So wurde schon die 1. mögliche Mediation vom SG verhindert
08.09.2010, ( ID:114/ S 1+2 zum AU 1992)
"Liste der gefährlichen Personen"
Unrichtiger Tatbestand im Urteil vom 24.09.2009 (Az.: L 14 U 66/08):
Abbruch an der Kniescheibenunterkante links.
10.09.2010
Ein Teil der Akten fehlt (Bl. 240-531):
Angeblich ist der BGHW jetzt erst aufgefallen, ein Teil der Akten fehlt (Bl. 240-531). Wahrhaftig ist dieses aber schon seit dem Schriftstück vom 29.09.2009 (E 207/09) bekannt.
15.10.2010, Termin zur Öffentlichen Sitzung
15.10.2010, (Bl.878 + 888)
18.10.2010,
Die Presse berichtet
02.11.2010, (Bl.906)
10.11.2010, E 207/09: (Bl.908)
Stromunfall: Mit dem Antwortschreiben aus dem Sozialgericht (SG) Bremen vom 01.09.2009 u. 07.09.2009 konnte ich mit meinem damaliger Anwalt dem SG Bremen der Beklagten BV Bremen und der BG ETEM Prozessdelikt anlasten. Damit wollte mein Anwalt aber nichts zutun haben und wünschte mir beim Weitermachen viel Glück.
Ich habe weitergemacht und konnte mit der Generalstaatsanwaltschaft Bremen im Bescheid vom 17.11.2009 in 44 Punkten Pflichtverletzungen festsetzen. Die aber nicht unter Strafe gestellt wurden.
Ferner habe ich bei der BGHW HV Mannheim am 18.09.2009 unter dem Vorgang E 207/09 ein Beschwerdeverfahren gegen den Bearbeiter meiner Akte eingeleitet. Darauf hat die BV Bremen der HV Mannheim eine interne Stellungnahme vom 05.10.2009 vorgelegt. Davon folgt eine Abschrift, denn das Kopieren wurde mir seit dem 13.08.2019 von der BGHW untersagt.
06.01.2011:
Mein 2. Beschwerdeverfahren beginnt (E 29/11)
26.01.2011
26.01.2011
08.02.2011
11.02.2011
Mitarbeiter der BGHW wissen nicht mehr wie es weitergehen soll.
13.02.2011
Das Zurückhalten von Beweismittel wurde durch den Rentengutachter aufgedeckt. AU-1968 mehr lesen
08.04.2011
27.05.2011
27.05.2011
An dieser Stelle konnte erstmalig erkannt werden:
"Wir werden Herrn Neumann in die Liste der "gefährlichen Personen" aufnehmen und wie sie weiter gegen meine Person vorgehen werden und auch vorgegangen sind. Diese Stellungnahme sollte mir nicht übersandt werden und hat die BGHW in der Gesprächsnotiz vom 18.11.2009 festgesetzt. Denn die BV Bremen will sich nicht rechtfertigen und will meine Aufklärung begrenzen. So hat es die BV Bremen mit der E-Mail vom 17./28.11.2009 der BGHW HV Mannheim nachvollziehbar vorgetragen.
Die "Stasiakte"
Erst nach bald 2 Jahren hat mir die HV Mannheim mit dem Schreiben vom 27.05.2011 die interne Stellungnahme zum Vorgang E 207/09 der BV Bremen vom 05.10.2009 als Anlage in Kopie übersandt. Danach hat ein Kriminalhauptkommissar Bremen die interne Stellungnahme der BGHW vom 05.10.2009 (3 Seiten) gesichtet u. als "Stasiakte" bezeichnet.
Die Bezeichnung habe ich übernommen und ist keine üble Nachrede.
Den Namen des Beamten werde ich nicht vergessen, denn er gab mir seine Visitenkarte und hat mir dazu erklärt: Ich sei an eine kriminelle Vereinigung geraten, die niemals Zurückrudern wird und mit einer Freiheitsstrafe bis zu 10 Jahren vom Gesetzgeber bedroht wird. Sie wollen ihr "Problem" lösen und gehen dabei nach "Stasimanier" vor. Ich könnte der 2. "Gustl Mollath" werden und soll auf meine Gesundheit aufpassen etc.. Dass es so etwas in Deutschland noch gibt hätte er nicht gedacht. Sämtliche Warnungen sind eingetroffen. So bin ich 4 mal im Gefängnis gelandet. Leide unter psychosomatischen Belastungsstörungen. Schlafe seit dem 26.07.2013 ebenerdig, schreie im Schlaf um Hilfe bis der Notarzt am 15.07.2019 kam.
Mit meinem Schreiben vom 03.03.2011 - wem was anzulasten ist - habe ich auf der Seite 15 von 20 über den Vermerk vom 31.08.2009 berichtet.
Mit Posteingangsstempel hat mein Schreiben vom 08.03.2011 und die Anlage mein Schreiben vom 03.03.2011 die Behörde erreicht, finden sich aber im Geschehensablauf nicht in der Akte mit Posteingangsstempel wieder.
01.10.2011
20.08.2012
05.09.2012
25.10.2012
Auch dieses Schreiben hat die BGHW zur Geheimhaltung vor der Öffentlichkeit in die Liste vom 13.08.2019 mit 45 Akten und Verwaltungsentscheidungen der BGHW aufgenommen.
10.06.2025:
Sozialgericht & mein Anwalt haben meinen Schriftsatz erhalten
Der gesetzlose
"Kampf um Unfallrente" ist noch nicht verloren.
"Gerechtigkeit als Herzenssache"




































































































































































































